Algebraic Fractions - possibly worse than broccoli without being good for you

Broccoli. Its more edible with cheese. 

Oooooh. Algebraic Fractions.

You know I love maths, so I could sit and do them all day long...but for most 'normal' people these are a nightmare...and they get worse.

Algebraic fractions are mostly level 7 and upwards, so an easy version could potentially pop up in the foundation paper, but they are usually always in the higher tier GCSE maths exam. Fun.

Well the good news is, if you do learn to understand them, you will pick up a good chunk of marks.

So let's get into it and see if we can make this topic slightly more bearable.

Before you dive in with algebraic fractions you need to make sure you are 100% confident with normal fractions and how they work.

Normal Fractions:

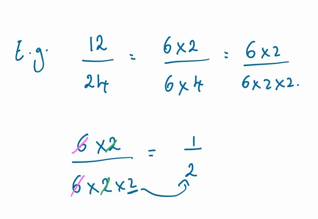
The reason that normal fractions cancel down is because the top and bottom number have common factors.

You can write 12 and 24 as multiples of 6.

Then when you break it down you can see the factors that are in the top and the bottom numbers.

That’s how we cancel normal fractions.

Note: you can cancel numbers that are being multiplied on top and bottom. Not numbers that are being added/subtracted.

The reason some fractions don’t cancel is because the numbers don’t have the same factors.

You can’t cancel out the 3 in this fraction because its being added, not multiplied - its not a factor.

This is critical to remember when it comes to algebraic fractions.

Simplifying algebraic fractions

It’s the same with algebraic fractions. They just look scarier and seem confusing because of all the letters, but the rules are the same.

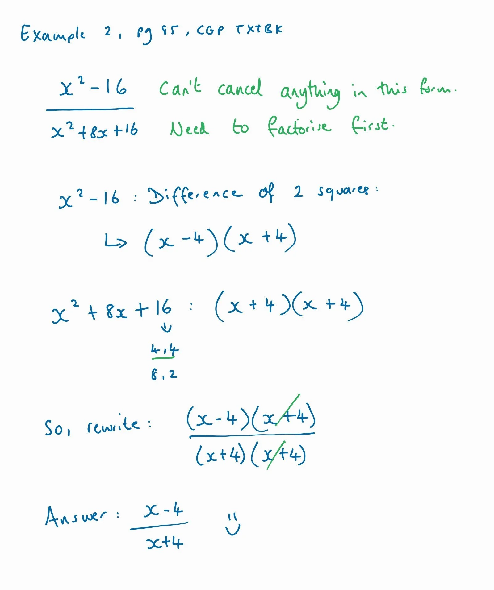
Let's have a look at a couple of examples - some of these are from the fat CGP AQA GCSE maths textbook, page 85, or are variations of them.

3x^2y^4/21xy

We can rewrite that as:

What I’ve done here, is re write it with everything multiplied out. This lets you see all of the multiples and where to cancel.

We can cancel out the 3 from the top and bottom, one of the x and one of the y. That leaves us with xy^3 over 7.

Here a couple more basic algebraic fractions:

These algebraic fractions are simple and straightforward to simplify.

Slightly harder algebraic fractions

You knew it wouldn’t stay that easy.

These get harder when you have to factorise the expressions before you can start simplifying them.

If you don’t know what the ‘difference of 2 squares’ is, I highly recommend you review those as they come up a lot in this topic.

Also if you are not good at factorising linear expressions and factorising quadratics, you will struggle with these.

Let’s have a look at some examples:

This is more like the kind of question you would get in higher tier maths gcse. You can’t just go and cancel these down.

Both top and bottom need to be factorised first.

Also when you do, you are looking to make one of the brackets the same, otherwise it won’t cancel.

Sometimes you have to think about how you are going to factorise the expressions.

Previous
Previous

How to find percent whilst munching on cupcakes

Next
Next

What is a Prime Factor? Something like biting into the sweet layers of a Backlava